A. 3 xonali sonlar
Xotira: 32 MB, Vaqt: 1000 msEng katta va eng kichik 3 xonali sonlarning yig'indisini toping.
| # | INPUT.TXT | OUTPUT.TXT |
|---|
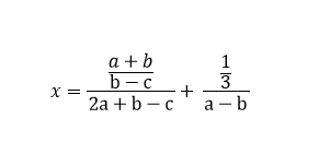
B. Hisob kitob 1
Xotira: 32 MB, Vaqt: 1000 ms
Sizga a, b, c haqiyqiy sonlari berilgan quyidagi ifodani hisoblang.
masalaning javobini verguldan keyin 2 xona aniqligida chiqaring.
| # | INPUT.TXT | OUTPUT.TXT |
|---|---|---|
| 1 |
1 2 3 |
-11.00 |
C. Hisoblash 2
Xotira: 32 MB, Vaqt: 1000 ms
a,b,c haqiyqiy sonlari berilgan. natijani verguldan keyin 2 xonal aniqlikda hisoblang.
| # | INPUT.TXT | OUTPUT.TXT |
|---|---|---|
| 1 |
1 2 3 |
-3.33 |
D. Yig'indi
Xotira: 32 MB, Vaqt: 1000 msSizga berilgan 3 xonali sonning boshidagi va oxiridagi raqamlarini ko'paytmasini toping.
| # | INPUT.TXT | OUTPUT.TXT |
|---|---|---|
| 1 |
123 |
3 |
E. karrali
Xotira: 32 MB, Vaqt: 1000 msBerilgan a natural soni 1 dan 9 gacha bo'lgan nechta raqamga bo'linadi.
| # | INPUT.TXT | OUTPUT.TXT |
|---|---|---|
| 1 |
123 |
2 |
F. Uchburchak
Xotira: 32 MB, Vaqt: 1000 msUchburchakning tomonlarida ajoyib xususiyat bor. Uchburchakning ixtiyoring 2 ta tomoni qo'shsak 3-tomondan kichik bo'ladi.
Sizga uchburchakning 3 ta tomoni berildi, siz bu tomonlar orqali uchburchak yasash mumkinmi yo'qmi aniqlashingiz kerak.
| # | INPUT.TXT | OUTPUT.TXT |
|---|---|---|
| 1 |
2 2 2 |
yes |
| 2 |
1 2 3 |
no |
G. maxi
Xotira: 32 MB, Vaqt: 1000 msBerilgan 3 ta son ichidan nechtasi maksimumga tengligini toping.
| # | INPUT.TXT | OUTPUT.TXT |
|---|---|---|
| 1 |
1 2 3 |
1 |
H. Aniqlash
Xotira: 32 MB, Vaqt: 1000 msSizga [a,b] oraliq beriladi. agar ascii jadvalida a-belgidan, b-belgigacha barcha belgilar harflar bo'lsa yes, aks holda no chiqaring.
| # | INPUT.TXT | OUTPUT.TXT |
|---|---|---|
| 1 |
65 90 |
yes |
I. Ifoda
Xotira: 32 MB, Vaqt: 1000 mssizga quyidagi ko'rinishda 2 ta belgi beriladi.
Siz ifodani hisoblang.
{raqam} {+,-,*} {raqam}
| # | INPUT.TXT | OUTPUT.TXT |
|---|---|---|
| 1 |
1 + 2 |
3 |
| 2 |
5 * 8 |
40 |
J. check
Xotira: 32 MB, Vaqt: 1000 msBerilgan matematik ifodani tekshiring.
Ifoda {son}{amal}{son}={son}
Ifodada faqat +, -, * amalllari foydalaniladi.
Agar ifoda to'g'ri bo'lsa yes aks bolda no chiqaring
| # | INPUT.TXT | OUTPUT.TXT |
|---|---|---|
| 1 |
1+2=3 |
yes |
| 2 |
2265*695=126846 |
no |
K. Arrow
Xotira: 32 MB, Vaqt: 1000 mssizga >, <, - belgilaridan tashkil topgan satr beriladi. Satrdagi eng uzun o'qni nechta belgidan tashkil topganini toping.
o'q quyidagicha bo'ladi.
1 ta > bilan boshlanib, bir nechta - bilan davom etib, bitta > bilan tugaydi yoki 1 ta < bilan boshlanib, bir nechta - bilan davom etib, bitta < bilan tugaydi.
| # | INPUT.TXT | OUTPUT.TXT |
|---|---|---|
| 1 |
>>>--<---<>> |
5 |